2023-01-13 13:30:00来源:互联网
邀请好友加入抹茶,您可获得最高价值60,000元数字货币盲盒
如果大家还是新手投资者,试图预测自己的加密基金的回报,那么有一件事可能特别有用,那就是使用APY,它能够帮助大家了解自己未来的利润并应用可行的被动收入策略。尽管加密被动投资可能看起来类似于传统金融机构的产品,但有很多专门为数字资产设计的工具和服务。在大家确定自己的年度复合回报时,区块链apy会派上用场,大家可以将APY视为与特定时间段相关的投资回报率。很多投资者可能还不了解这个区块链apy什么意思?下面就让小编为大家通俗解释区块链apy。

APY代表年收益率,这是考虑到复利后投资的实际回报率。
与简单的复利相比,复利允许投资者获得利息,将他们的利润添加到初始投资总额中。比如在DeFi世界中,你可以获得staking的奖励,将其添加到整体staked coins中,以便下次获得更高的收益。
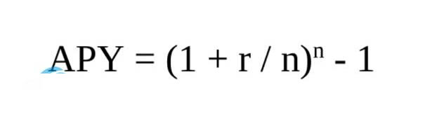
这是计算APY的公式:

r—周期率
n——复利期数
为了让您有一个更好的主意,我们还将提供一个APY示例。假设您投资了与以前相同的1,000个硬币,但在整个过程中增加了复利。如果你的复利是10%,每天复利,第一年年底你会得到1105,第二年年底1221,第五年年底1648。此外,利率越高,花费的时间越多,结果就越好。
加密质押APY介绍各种交易所,包括加密货币交易平台HitBTC,为他们的客户提供了一个连接到股权证明区块链并代表他们进行投资的机会。通常,当投资者将代币或代币锁定更长时间时,他们会获得更多利润。
值得注意的是,不同的代币提供不同的质押选项。因此,APY也可能有很大差异——一个网络可能提供4%,而另一个设置14%的费率。最终奖励基于多个条件:验证节点的性能、出块率、涉及的质押者数量、通货膨胀等。
您可以在中心化和去中心化交易所使用加密货币赚取APY。前者往往更稳定,因为它们以特定时期的担保率为基础,而后者只关心市场状况。
今天的比特币价格可能与你希望的价格大相径庭,这可能会阻止一些人进行长期投资。然而,实践表明,长期策略通常更有效,不仅对大家的钱包有益,而且对大家的心理健康也有益。在处理加密货币APY时,没有人能免受波动性的影响,但它仍然为您提供了比简单持有赚取更大利润的选择。最重要的是,不要忘记使您的投资组合多样化并尝试不同的资产,这可以说是进入加密货币市场的第一步。
以上就是区块链apy什么意思?区块链加密质押APY介绍的详细内容,更多关于区块链apy介绍的资料请关注抹茶交易所其它相关文章!
抹茶安卓下载:立即前往抹茶IOS下载:立即前往
免责声明:文章图片应用自网络,如有侵权请联系删除